§2  解析几何中的基本计算

 

 

     

[两点间的距离]

 

 

平面上

空间中

 

[分线段为定比的分点坐标]

          (a)

          (b)

  M(x, y, z)A1A2的分点,分割比例      

平面上 

 

 

 

 

空间中 

λ>0称为内分,称为外分.λ=1时,MA1A2的中点:

     

 

 

 

 

 

 

 

 

 

 

 

 

 

 

 

 

 

 

 

 

        

                     

[平面上三角形的面积]

  A1, A2, A3构成逆时针回路

    S=

    S=0时,A1, A2, A3三点共线

[平面上多角形的面积]

A1, A2,,An构成逆时针回路

 

 

S=

S =0时,A1, A2,,An n个点共线

 

[空间中四面体的体积]

  这里构成右手系

 

V==

V =0时,M, A1, A2, A3四个点共面

 

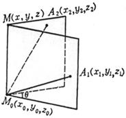
[二面角的角度]

 

  M0, M1, A1, A2为空间中不共面的四点,q为二面角A1-M0M1-A2 (0£q£180°)

 

 

 

 

 

M0为原点,x轴的正向,y轴的正向时,则

M0为原点时,x轴的正向时,则

 

 

        

                     

[质点系的重心坐标]

空间中各质点的质量为mi,坐标为(xi, yi, zi) i=1, 2, , n

重心G的坐标

式中表示对i1n求和